Use this price elasticity of demand calculator to calculate the price elasticity of demand (PED). The tool is developed for analytical insight and educational purposes only, and contractual or financial decisions should be made with the help of a financial advisor.
PED:
Elasticity:
- Midpoint Price
- Midpoint Quantity
- Price Change (%)
- Demand Change (%)
Initial Revenue:
New Revenue:
Difference:
A price elasticity of demand calculator measures how strongly customer demand can respond when a product’s price changes. With it, you can see if a price increase will hurt sales or a discount will increase revenue, so you can decide whether to charge more, sell less, or reduce the price and keep the product demand high.
The calculator uses the midpoint formula for the elasticity of demand to give consistent results and directly connects pricing decisions to demand behavior and revenue outcomes. It’s especially helpful for price analysis, revenue planning, and understanding if demand reacts sharply or mildly to price shifts.
More Calculators:
What is the Price Elasticity of Demand?
Price elasticity of demand measures how much the quantity demanded of a product changes when its price changes. It estimates how sensitive the customer is to pricing rather than absolute sales levels. Analysts or business owners use it to determine the price change of a good vs demand.
Let’s assume you are a retailer selling electric bikes. What will happen if you decrease the bike price from the original $1000 to $900? If you see a big jump in sales after the price decreases, demand is elastic. If sales barely move with a price fluctuation, demand is inelastic. This responsiveness (not the product) defines elasticity.
Elasticity explains why price cuts can largely increase revenue for some products and harm profits for others. In reality, products are not the same, so their needs. Luxury and discretionary goods have elastic demand, while daily life items often show inelastic behavior. People have to buy everyday products, no matter if the price goes up or down.
Note: Price elasticity focuses on price-driven behavior, not packaging size, product bundles, or unit comparisons. The questions fall under unit pricing analysis instead of elasticity.
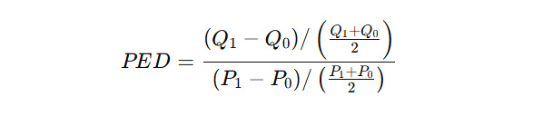
Midpoint Formula for Price Elasticity of Demand
The midpoint (arc elasticity) formula is used to calculate the elasticity of demand, and that’s also what our price elasticity of demand calculator is built on. It is the standard way to compare two price–quantity points in economics.
Price Elasticity of Demand (PED) = (% change in quantity demanded) ÷ (% change in price)
By using midpoint values, the main formula will be:

Where:
- P₀ = Initial price of the product,
- P₁ = New price of the product,
- Q₀ = Initial quantity demanded,
- Q₁ = Quantity demanded after the price change,
- PED = Price elasticity of demand
The midpoint method calculator is important because it avoids bias. If prices rise or fall, the elasticity result won’t change because the percentage change is measured according to the average price and quantity.
In economic theory, the calculated PED is almost always negative since price and demand move in opposite directions. So it proves the price and demand are inversely proportional to each other—when the price is high, the item’s demand will be low, and vice versa. The calculator keeps that sign, while the elasticity interpretation relies on the absolute value.
Price Elasticity of Demand Types Table
| PED Value | Elasticity Type | Demand Response to Price Change | Impact on Total Revenue | Examples |
|---|---|---|---|---|
| PED = 0 | Perfectly Inelastic | Quantity demanded remains unchanged regardless of a price shift. Consumers will buy the product anyway. | Price increases expand total revenue; price decreases highly reduce revenue. | Life-saving medications, emergency medical services |
| 0 < PED < 1 | Inelastic Demand | Demand changes a little with price fluctuations and stays relatively stable, not very price-sensitive. | Increasing prices normally increases total revenue; a price reduction leads to low revenue. | Fuel, basic utilities, staple foods |
| PED = 1 | Unitary Elastic Demand | Quantity demanded changes by the same percentage as the price change, and keeps demand proportional. | Total revenue won’t change when prices increase and decrease. | Subscription services, some branded consumer goods |
| PED > 1 | Elastic Demand | Demand changes by a higher percentage than the value change. Buyers are responsive to cost margins. | Revenue increases with a price decrease and vice versa. | Electronics, luxury goods, discretionary services |
| PED = ∞ | Perfectly Elastic | Any price increase leads to zero demand, and a cost decrease increases massive demand. | High price eliminates revenue, and it only exists at one price level. | Commodities with fixed prices, regulated goods |
How to Calculate Price Elasticity of Demand
To calculate the price elasticity of demand, you need two prices and the quantities sold at these prices. Let’s consider a coffee subscription service that changes its monthly price and records the following data:
- Initial price (P0): $40
- New price (P1): $36
- Initial quantity (Q0): 500 subscriptions
- New quantity (Q1): 620 subscriptions
To calculate the elasticity of demand, we will go through it step by step.
Step 1: Calculate the Midpoint Values
- Average price: (40 + 36) ÷ 2 = 38
- Average quantity: (500 + 620) ÷ 2 = 560
Step 2: Calculate the Changes
- Change in price: 36 − 40 = −4
- Change in quantity: 620 − 500 = 120
Step 3: Calculate Percentage Changes
- Percentage change in price: −4 ÷ 38 = −0.1053
- Percentage change in quantity: 120 ÷ 560 = 0.2143
Step 4: Calculate Price Elasticity of Demand
- Price Elasticity of Demand (PED): 0.2143 ÷ −0.1053 = −2.04
The absolute value of elasticity is 2.04, which is greater than 1, so it’s an elastic demand. The demand increase is proportionally larger than the reduced price. To eliminate the headache of this manual calculation, you can enter these input values in the above price elasticity of demand calculator, and it automatically finds out the elasticity value, its classification, and the revenue impact.
Frequently Asked Questions
Does the price elasticity of demand stay constant for a product?
No, price elasticity can change at different costs and over time. A product can be elastic at high prices and turn inelastic as if price falls, even if the demand curve remains stable.
What are the main determinants of price elasticity of demand?
These are the major factors that influence PED:
- The substitute availability plays a big role. When alternate items are easy to find, users can be more price-sensitive.
- The product’s nature matters as well. Necessities and luxury or discretionary items impact the behavior.
- The income share spent on the product; expensive goods usually show maximum sensitivity.
- Time horizon is another key determinant. Demand often gets more elastic over time as buyers adjust their preferences or find substitute products.
- Brand loyalty, perceived necessity, market, and regulatory constraints further impact the final behavior.
Can price elasticity be calculated with only one price point?
No. Price elasticity needs two price–quantity observations to be compared. If there’s no price change, you can’t measure PED.
Is price elasticity valuable for short-term pricing decisions?
Yes, but it’s more reliable when price shifts are measured over consistent time periods. Short-term elasticity can differ from long-term as buyers can change their minds.
How does elasticity affect a company’s pricing policy?
Companies use price elasticity data to figure out if they should raise prices, offer discounts, or stick with current pricing. If a product is inelastic, it can bump up the price without losing many sales. But if it’s elastic, even a small price hike can scare off customers and shrink revenue fast. When you look at elasticity alongside revenue numbers, our price elasticity calculator helps teams make smart pricing decisions with no endless trial and error.
What is cross price elasticity?
Cross price elasticity measures how the demand for one product changes when the price of another related product changes. You can identify whether goods are substitutes, complements, or unrelated based on how demand responds to price shifts throughout the market.
How to calculate the price elasticity of demand from the demand function?
To calculate price elasticity from a demand function, first differentiate the demand equation with respect to price, then multiply the result by price and divide by quantity at the chosen price level. This gives the elasticity at a specific point on the demand curve.
How accurate is a price elasticity of demand calculator?
PED calculator is only as good as the data you feed it. It takes the actual price and quantity numbers you input and shows you the observed behavior.
Usama, Ali "Price Elasticity of Demand (PED) Calculator" at https://zeecalculator.com/price-elasticity-of-demand-calculator from ZeeCalculator, https://zeecalculator.com - Online Calculators